A nemzetközi önkéntes karbonpiac jelentős változáson megy keresztül, melyet öt – egymással is összefüggő – megatrend hajt előre. Az első és legfontosabb piaci trend az, hogy mára az önkéntes karbonpiac szakmai háttere mind kínálati, azaz projektfejlesztői, mind keresleti, azaz ellentételezési oldalról tudományos alapon megfelelően alátámasztásra került, módszertanilag legitimmé vált. Így végre magunk mögött hagyhatjuk a „búcsúcédula” toposzt.
Az önkéntes karbonpiac a karbonárazás vállalati működésben történő gyakorlati megjelenésének egyik módja. Elszámolási egysége a karbonkredit, egy átruházható tanúsítvány, amely azt bizonyítja, hogy valamely szereplő 1 tonna szén-dioxid egyenértékesen számolt többlet emissziócsökkentést vagy karboneltávolítást ért el, azonban az abból származó zöld állítások jogát pénzügyi ellenszolgáltatás fejében átengedte egy másik piaci szereplőnek, hogy az ellentételezzen vele. A szereplők – legyenek szabványgazdák, projektfejlesztők, tanúsítók, zöld beruházók, vagy kreditvásárlók – mind önkéntesen lépnek a piacra, tehát tevékenységük túlmutat a szabályozáson és a nemzeti vállalásokon, azaz többleteredményt okoz a klímavédelemben.
A piac jelentős változáson megy keresztül, egymással is összefüggő megatrendek átalakítják át a karbonpiaci alapterméket (technológiai karboneltávolítás és természet alapú szén-dioxid gazdálkodás), megváltoztatják a kereskedés módját (előzetes átvételi szerződések), a vállalati értékláncok résztvevői által megvalósított együttes dekarbonizációra (insetting), mint új stratégiai megközelítésére helyezik a hangsúlyt, és mind módszertanilag, mind jogilag legitimálják az ellentételezést a keresletgenerálás érdekében. Nézzük ebből elsőként a mindent meghatározó alapvető változást: az alkalmazott módszertanok és jó gyakorlatok tudományos alapú átalakulását, melyek együttesen alkalmasak a „búcsúcédula biznisz” stigmától való végleges megszabadulás előmozdítására.
A karbonpiaci paradoxon
Az önkéntes karbonpiac már 20 éve létezik, de az áttörés mindezidáig nem következett be strukturális problémák miatt, melyek a karbonpiaci (hitelességi) paradoxon, a piac széttöredezése és a jogi legitimáció hiányában fellépő keresletgenerálási problémák. A karbonpiac kiteljesedését gátló tényezők közül a legfontosabb az, hogy az önkéntes karbonpiac permanens hitelességi válságba került a tartós többlethatás gyakori hiánya, az eredmények elszivárgása és ebből fakadóan a valós klímavédelmi eredményt meghaladó „túlkreditesítés” következtében. A hitelességi válság hatására a piac az elmúlt három évben megtorpant nagyságrendileg 200 millió tonna szén-dioxid egyenértékesen számolt éves önkéntes ellentételezési volumen környékén, alacsony szinten beragadó fajlagos árak mellett, melyek így nem teszik lehetővé a minőségi projektfejlesztést. Ez a karbonpiaci paradoxon, ami a „tyúk vagy tojás” elméleti kérdés gyakorlati esete.
A hitelességi válságot a 2023. januárjában kirobbant Verra botrány tette közismertté, amelyben a piac legnagyobb játékosáról kiderült, hogy az általa kezelt globális portfólióban az esőerdő-kompenzációs projektekből származó karbonkreditek akár 90 százaléka is fantomkredit lehet, azaz nem valós eredményeken alapul. Ez olyan, kifejezetten nagy karbonsemlegesítési vállalásokat tevő és a fantomkreditekből jól bevásárló cégekre szórta rá a sarat, mint a Disney, a Shell, az Apple vagy a VW. A rendszerben a módszertannal és a hitelesítéssel is egyaránt voltak problémák, ennek következtében a Verra újra is írta a standardjait és külső, független szakértőket vont be a legszigorúbb akkreditálásokhoz, valamint élére ált a piac megújításának, de az egykor kiváló pedigréje odalett, a piacrésze zsugorodik.
A karbonpiaci paradoxon egy ördögi kör, pedig a hosszú távú áttörés létfontosságú lenne a zöld átmenet sikere szempontjából, de ehhez újra kell definiálni a piacot. Az önkéntes karbonpiac fejlődésének tehát alapköve, hogy az ellentételezés legitim eszközzé váljon, melyhez minőségi karbonkredit kínálat és kereslettámogatás szükséges. Mindkettőt a nagy nemzetközi szabványgazdák befolyásolják, akik az ajánlásaikkal terelik a piacot. A továbblépéshez a „búcsúcédula biznisz” stigma levetkőzése szükséges, amely nagyon elterjedt popkulturális narratívává vált, így nem lesz könnyű menet.
A projektek minőségbiztosítása kritikusan fontos
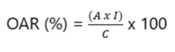
Az elemzők egy kibocsátás minőségét az ún. Ellentételezési Hatékonyságmutatóval (Offset Achievement Ratio, OAR) mérik, melynek magas értéke magas integritást, azaz kiváló karbonkredit-minőséget, alacsony értéke ennek az ellenkezőjét jelenti. Az OAR mutató egy visszamérés alapján azt jelzi, hogy egy adott zöld beruházás, mint projekt alapján kibocsátott karbonkredit mennyiségnek hány százaléka valósult meg ténylegesen, mint addicionális emissziócsökkentés:
A képletben „A” jelenti azt, hogy a projekt mennyiben addicionális (értéke nulla és egy közé esik); „I” a projekt által ténylegesen megvalósított, szén-dioxid egyenértékesen (tCO2e) mért üvegházhatású gázkibocsátás-csökkentés, vagy elnyelés mértéke; míg „C” a projekt alapján kibocsátott karbonkreditek darabszáma. Az OAR mutató értéke akkor alacsony, ha a projekt nem, vagy csak kis mértékben addicionális, és/vagy a visszamért emissziócsökkentés messze alulmúlja a kibocsátott karbonkreditek számát. Az Allied Offsets felmérése szerint a hagyományos módszertanok szerint létrejött karbonkreditek túlnyomó többsége 10 és 40 százalék közötti implicit OAR mutatóval bír, azaz valóban van alapja a kritikának.
A kínálati oldal a hitelességhiányra válaszként erőteljes minőségbiztosításba kezdett. A piac öntisztulása az Integritási Tanács (ICVCM) létrehozásával indult 2021-ben, amely egy hosszabb szakmai egyeztetést követően 2023-ban kiadta az Alapvető Karbonpiaci Irányelveket (CCP), melyekkel szemben minden magas integritású, azaz jó minőségű karbonkreditet kibocsátani kívánó szervezetnek akkreditáltatni szükséges a kibocsátási szabványát. A piac a CCP minősített karbonkreditek gyorsuló elterjedésére számít az elkövetkező években, amely egy fontos megatrenddé vált: 2025-ben már megjelentek az első ilyen tanúsítványok, arányuk 2026-ban várhatóan már 15 százalék körül alakul, míg 2030-ra akár meghaladhatja az éves karbonkredit kibocsátások felét a magas integritású karbonkreditek aránya, melyek OAR mutatója 80 százalék feletti.
Az ellentételezés legitim eszközzé válik
A keresleti oldalt a leginkább a Science Based Target initiative (SBTi) vállalati nettó nulla kibocsátási ajánláscsomag befolyásolja, melyet mára közel tízezer nagyvállalat követ önkéntesen és a követők száma gyorsan bővül, annak ellenére, hogy a jogszabályi kényszerítés világszerte kifulladóban van. A klímavédelem egyértelműen az önkéntesség irányba tolódik el. A fenti szabványnak 2025-ben jelent meg a legújabb ajánláscsomagja (SBTi v2.0), melynek fontos új elemei vannak, melyek mind az önkéntes karbonpiac élénkítése, azaz a keresletgenerálás irányába mutatnak a felelős karbonlábnyom ellentételezés tudományos módszertani elismerése által.
- Időzítési elvárások szigorodnak. Konkrét időzítési elvárást fogalmaz meg, miszerint a vállalati dekarbonizációs stratégia alapján legkésőbb 2035-ben már felelősséget kell vállalni a teljes kibocsátásért, míg a nettó nullás év legkésőbb 2050-ben be kell következzen, mint céldátum.
- A felelősséget kiterjeszti a teljes értékláncra. A vállalati összes kibocsátás 40%-át meghaladó ESG Scope3 arány (azaz az értékláncban keletkező emissziós hányad) felett kötelező az értéklánc kibocsátásának részletes jelentése és csökkentési célkitűzés felállítása. Mivel a yállalatok teljes karbonlábnyomának gyakran 70-90 százaléka az ökoszisztémában keletkezik, így a cégek jellemzően a teljes ökoszisztéma kibocsátásáért felelősséget kell vállaljanak.
- Az ellentételezés módszertanilag elfogadottá válik. Objektív hatékonysági okokból a szabvány elfogadja, hogy a nettó nulla állapot a vállalati ökoszisztémában, nemzetgazdasági, vagy akár világgazdasági szinten kell teljesüljön a kitűzött céldátumon. Ezáltal az ESG scope3 ökoszisztémában az ésszerűen le nem csökkenthető maradó kibocsátás minőségi karbonkreditekkel történő ellentételezése a vállalati dekarbonizációs stratégiai elfogadott részévé, tehát módszertanilag teljesen legitimmé válik. Az ajánlás folyamatosan növekvő konkrét ellentételezési elvárásokat támaszt az önkéntesen célkövető vállalkozásokkal szemben, számukra határértékeket is megszab, és a felhasználható karbonkreditekkel szemben is megfelelő minőségi követelményeket határoz meg.
- Konkrét karbonárazási célértékeket ad. A karbonárazás tekintetében technikailag mind a hagyományos ellentételezést, mind az előzetes átvételi szerződéseket, mind a belső karbonárazást és a keletkező tartalékok taxonómiának megfelelő zöld projektekre történő felhasználását elvi szinten megengedi. A használandó karbonárakra konkrét célértéket is ad, amely „elismert” státusz esetén 20 dollár tonnánként, míg „vezető” státusz esetében ez már 80 dollár. Az alkalmazott karbonárat az ajánlást követő cégeknek publikusan kommunikálniuk kell, ezzel növelve a transzparenciát és a klímavédelemben oly fontos pozitív jelzésadást. Az ajánlás ezzel nagy lökést ad a stagnáló piaci árak pozitív irányú emelkedésének, amely lehetőséget nyit a projektfejlesztők számára nagyobb volumenű minőségi zöld projekt elindítására.
A szerzőről:
Tóth Levente
A MITIGIA CARBON Zrt. alapítója és vezérigazgatója
A Mitigia egy olyan hazai zöld technológiai startup vállalkozás, amely karbonpiaci tanácsadással, karbonárazással és minőségi karbonkreditek keletkeztetésével, valamint azok kereskedelmével foglalkozik saját fejlesztésű módszertanaira és szoftveralapú megoldásaira támaszkodva, elsősorban a megújuló energiák, az e-mobilitás és a körkörös gazdaság területén.
A Mitigia teljeskörű szolgáltatásaival, mint egykapus karbonpiaci megoldásszállító, összeköti a jelentős emissziócsökkentést megvalósító, átlátható és nyomon követhető zöld projekteket a hiteles és megbízható ellentételezési lehetőségeket kereső, önkéntes dekarbonizációs célkövetést alkalmazó vállalkozásokkal Magyarországon és külföldön egyaránt.





















